반응형
2023년 6월 고1 모의고사 수학 20번 문제는 이차함수의 축과 최대값, 최소값을 이용해 문제를 풀게됩니다.
x의 구간에 a의 위치에 따라 가, 나 조건이 맞는지 확인을 해주면 됩니다.

(가) 조건을 이용하면 a는 2와 10 사이에 있다는 것을 알 수 있습니다. f는 a에서 최솟값0을 갖기 때문입니다.
(나) 조건을 이용해서 6의 위치를 찾아보겠습니다. 6이 a보다 왼쪽에 있는 경우, (나) 조건을 만족할 수 없습니다.
그렇다면 a보다 6이 오른쪽에 있어야 최댓값과 최솟값이 같아질 가능성이 있게 됩니다.

이렇게 2와 6 사이에서 최댓값은 f(2), f(6) 중에 갖기 때문에 6과 10 사이에서의 최솟값이 f(6)과 같아질 가능성이 생깁니다.
우리는 2와 6 사이에서 최댓값이 f(6)이 되도록 a의 범위를 찾아주기만 하면 됩니다.

이 부분은 영상을 이용해 들으시는 것을 추천합니다. 2분 16초부터 최댓값이 f(6)이기 위한 a의 범위를 찾는 과정이 나옵니다.

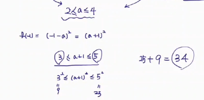
f(-1)을 구할 때는 a의 범위를 이용해서 제곱해주면 되는데, 모두 양수이기 때문에 제곱해도 부등호 방향은 그대로 유지가 됩니다. 답은 34로 1번입니다.
반응형
'교육 > 고1 모의고사 풀이' 카테고리의 다른 글
| 2023년 6월 고1 모의고사 수학 17번 손풀이와 해설영상 (0) | 2024.04.17 |
|---|---|
| 2023년 6월 고1 모의고사 수학 21번 손풀이 및 해설영상 (0) | 2024.04.17 |